Dr Tony Holohan
The Health Protection Surveillance Centre (HPSC) has today (Friday) been notified of four additional deaths related to Covid-19.
There has been a total of 4,918 Covid-19 related deaths in Ireland.
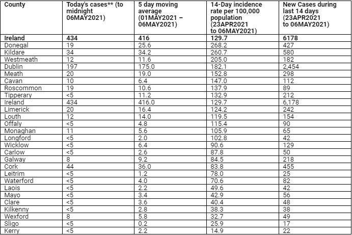
As of midnight, Thursday 6th May, the HPSC has been notified of 434 confirmed cases of Covid-19. There is now a total of 251,904 confirmed cases of Covid-19 in Ireland.
Of the cases notified today:
As of 8am today, 126 Covid-19 patients are hospitalised, of which 34 are in ICU. Fifteen additional hospitalisations in the past 24 hours.

As of Wednesday, May 5, 1,700,538 doses of Covid-19 vaccine have been administered in Ireland.
Dr Tony Holohan, Chief Medical Officer at the Department of Health, said: “Next week we will see many more business open which means employees and customers will return to work and our economy will begin to restart in earnest. This is a very positive sign and a testament to the hard work of the vast majority in suppressing incidence of disease in our communities.
“It is extremely important that business owners, employees and customers take great care and review safety protocols and practices and ensure to consider all the actions we can all take as individuals to protect ourselves and our loved ones.
“Only return to the workplace if it is necessary to do so. Continue to wear a mask, practice social distancing, good hand hygiene and cough etiquette. If you feel unsafe in a crowded environment, feel empowered to turn around and go home.
“If you are a business owner or an an employer, remember that you have a duty of care to those that work for you. Reopening responsibly will help to mitigate the risk of Covid-19 spreading amongst your staff in the workplace and ensure we all have the opportunity to enjoy the new social and economic activities available to us from May 10.”
Dr Ray Walley, General Practitioner, said: “General practices are extremely busy at the moment dealing with Covid and non-Covid care as well as continuing to administer Covid-19 vaccines.
“GPs continue to administer Covid-19 vaccines as per the National Vaccination Programme. This means that those aged 70 and over and those that are clinically vulnerable between the ages of 50 – 59 are eligible to receive a vaccine from their GP.
“I would encourage anyone who has been called to register for their vaccine to do so on the HSE portal.”
Subscribe or register today to discover more from DonegalLive.ie
Buy the e-paper of the Donegal Democrat, Donegal People's Press, Donegal Post and Inish Times here for instant access to Donegal's premier news titles.
Keep up with the latest news from Donegal with our daily newsletter featuring the most important stories of the day delivered to your inbox every evening at 5pm.